

本文介绍了机器人人造皮肤的设计过程,并提供了一套分步指南,用于开发一种高效、灵活、可扩展且稳健的人造机器人皮肤系统。实现这些特性无疑将使人造机器人皮肤能够应用于任何自主机器人(见图1)。

图1: 使用我们研发的机器人皮肤的不同机器人如下:配备62个皮肤单元的Allegro机械臂;双臂搭载700个皮肤单元的 TOMM 机器人;以及全身覆盖1260个皮肤单元的H1机器人。这些机器人分别采用不同的指令接口:力矩指令、速度指令和位置指令
自机器人技术发展初期以来,为机器人配备人造皮肤就一直是研究热点。当时乃至现在,许多研究的考量都是让机器人具备类似人类的触觉感知能力。这使得机器人能够进行充分的物理交互,且在人类附近活动时具有足够的安全性。
本文致力于在多个方面最大限度地减少潜在误差,倡导采用自动化方法实现每个皮肤单元和皮肤贴片的拓扑及空间自配置,并自动提取机器人参数。此外,本文强调触觉信息组织方式的重要性,通过有效的组织方式减少中央计算机在通信和感官信息处理方面的开销。
同时,本文坚信,一种理想的解决方案需要支持所有标准的机器人控制接口(即位置、速度和力矩接口),从而为几乎所有机器人提供完全适配的解决方案。
(1)相关工作
机器人皮肤:为不同机器人应用提供充足触觉感知能力的机器人皮肤研发仍是一个持续推进的过程,目前已涌现出多种潜在解决方案。此类机器人皮肤系统的开发具有挑战性,因为它涉及大量空间分布式离散传感器的组织与校准,以及海量信息的处理。文献对机器人触觉感知技术进行了综述与比较,总结了机器人皮肤系统向人类皮肤能力演进的需求和设计原则。文献讨论了相关关键挑战,如可靠性、稳健性、部署简便性、布线问题、传感器位姿的可行获取方法,以及海量触觉信息的高效低延迟传输与处理等。文献展示了早期机器人皮肤系统的开发成果,该系统在机器人手臂上部署了红外接近传感器阵列(共80个传感器),并将触觉信息输入规划器,使机器人能够实时避障。
文献介绍了一种柔性、可弯曲、可拉伸的传感器矩阵,集成了压力和温度传感器,可用作机器人的贴合皮肤,其制造尺寸最大可达12×12。文献也研究了将柔性传感器矩阵作为机器人皮肤的解决方案,但这种传感器矩阵存在布线数量多、稳健性低的缺点,且容易出现行列级故障。文献通过采用树形扫描拓扑结构,改进了柔性触觉传感器的部署灵活性,实现了可裁剪的传感器片材,能够适配所需形状。为提高稳健性、减少布线数量并增强部署灵活性,模块化机器人皮肤方案具有广阔前景。文献研究了模块化机器人皮肤系统,RI-MAN机器人配备了5个触觉传感模块(每条手臂2个,胸部1个),每个模块包含8×8的力传感器矩阵,总计 320 个力传感器。类似地,ARMAR-III机器人在肩部和手臂上使用了带有力传感器矩阵的模块。TWENDY-ONE机器人全身覆盖了机器人皮肤,手部(2×241个传感器)、手臂(2×54个传感器)和躯干(26个传感器)均分布有力传感器。文献提出了另一种具有模块化、分层架构和严格实时通信特性的机器人皮肤,该皮肤用于覆盖类人机器人全身,包含1864个传感点,作者还在全身接触任务中对该系统进行了测试。RoboSkin采用了真正的模块化方案,其皮肤模块为三角形,集成12个电容式力传感器,这些模块可组装成更大的结构,能够覆盖任意表面。这一设计极大地提升了部署灵活性,减少了布线,并将故障局限于单个模块,为机器人大面积覆盖且具备良好空间分辨率的皮肤奠定了基础。
RoboSkin 已用于为Nao机器人(200个力传感器)和iCub机器人(2000个力传感器)覆盖皮肤。近年来,研究人员还对RoboSkin进行了升级,集成了3D磁力传感器。大规模机器人皮肤的实用部署需要解决触觉信息的高效传输、组织和表示问题。文献为iCub机器人的RoboSkin设计了一种基于查询的模块化读取系统,并结合实时中间件,实现了触觉信息的高效查询式组织与表示。最近,研究人员开始采用神经形态学原理,在传感器层面减少冗余信息,仅转换、传输和处理由事件表示的新信息,而非每个单独的采样数据。这种事件驱动系统能够大幅降低网络流量和计算资源需求。文献提出了一种事件驱动的力传感器,文献介绍了类人机器人触觉信息的事件驱动通信系统,文献则初步探索了适用于标准PC系统的事件驱动中间件。然而,严格的实时控制要求恒定的控制周期,而事件驱动的通信和处理会导致系统负载动态变化,影响操作系统的进程调度,进而造成控制周期的抖动。这种实时调度的干扰在多核系统中可得到缓解——在多核系统中,一个线程可专门用于实时控制,其他线程则处理事件驱动系统。事件解码器可为访问新事件到达时更新的数据提供同步接口,从而为同步时钟驱动的控制算法提供事件驱动的信息。
皮肤控制:几十年来,触觉感知及其在机器人控制中的潜在应用一直受到关注。为此,研究人员提出了多种技术和方法来检测机器人身体(不仅是末端执行器)上的接触。例如,文献的触觉传感器用于检测物理接触并计算身体反应。此外,为防止机器人与环境发生碰撞,预接触检测技术也得到了研究。这些物理交互的实现通常需要集成力矩传感器来测量交互力。
随着触觉传感器尺寸的减小和分辨率的提高,其在精细抓取和操作中的应用逐渐增多。例如,文献中的灵敏夹具无需获取被抓取物体的任何信息即可找到合适的抓取点,甚至能稳定抓取非刚性物体。嵯峨坂等人开发了一种高分辨率触觉皮肤,单只手上部署了1052个传感点,该皮肤主要用于测量人类的操作技能。即使对于两指夹具,触觉反馈也能改进抓取方法。
皮肤技术还通过学习技术用于动态参数识别。在足式机器人领域,触觉传感器被用于识别地形条件、实现柔顺行走策略以及平衡控制器设计。
(2)文章结构
下文将介绍机器人皮肤开发的各个阶段:第二部分阐述多模态机器人皮肤单元及其如何通过网络连接形成机器人表面覆盖;第三部分介绍处理机器人皮肤大面积区域产生的海量数据所需的数据处理方案;第四部分呈现控制框架;第五部分展示该机器人皮肤在各种机器人应用场景中的实例;最后,第六部分给出结论。
(1)皮肤单元
本文所述机器人皮肤的研发始于2010年,并已演进至新一代。本节介绍的多模态皮肤中,我们开发了一种人造多模态机器人皮肤单元,能够感知:1)温度;2)压力(法向力);3)加速度(x、y、z 三个平移方向);4)接近度 [见图2(a)]。每个皮肤单元均配备微控制器,用于本地计算和传感器数据读取 [见图2(b)],并通过四个通信端口实现与相邻单元的通信。

图2:慕尼黑工业大学认知系统研究所研发的机器人皮肤。(a)每个单元上搭载的传感器。(b)封装在硅酮材料中的单元电子设备,含微控制器及尺寸参数

图3:机器人皮肤网络及与工作站的通信接口
(2)皮肤单元的自动配置与定位
为在应用中充分发挥机器人皮肤的优势,需要将传感信息与空间信息相结合,例如对机器人上的皮肤传感器进行标记和定位。皮肤的配置与定位可实现自动化,例如结合自触摸与RGB-D信息。本文中,我们开发了一种自配置/自定位方法,其主要步骤如图4所示:1)将皮肤贴片安装在机器人肢体上;2)探索皮肤传感器网络以提取其拓扑结构;3)通过电机试探(motor babbling)获取不同姿态下的皮肤单元数据;4)三维表面重建;5)确定皮肤贴片相对于其安装肢体的位置。
为求解每个皮肤单元i与机器人连杆j之间的变换关系,我们开发了一种结合线性加速度信息、相邻单元信息和形状信息的方法,能够自动重建皮肤贴片的三维表面。该方法的优势在于可扩展性良好——算法按肢体而非传感器逐个处理,即一个机器人肢体(包括子肢体,如手臂和前臂)上的所有传感器可在一轮操作中完成定位。该方法可推断每个皮肤单元i相对于根皮肤单元r的相对变换关系iTr [见图4(d)]。随后,我们采用图5所示的方法之一确定皮肤贴片在机器人肢体上的位置,即求解贴片的根皮肤单元r与机器人肢体j之间的变换关系rTj [见图4(e)]。

图4:机器人皮肤系统的自配置与自定位流程:将皮肤贴片安装到机器人后,该方法首先对皮肤单元网络进行探测,随后对机器人表面进行三维重建,最终实现皮肤贴片的定位。(a)皮肤安装;(b)自组织网络;(c)电机试探;(d)三维重建;(e)贴片定位
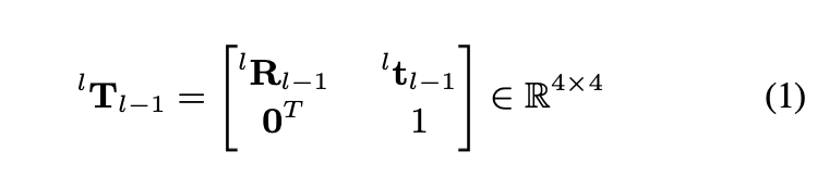
三维表面重建方法首先利用本地相邻单元信息(每个皮肤单元的四个相邻单元列表)构建有向图,该相邻单元列表在皮肤启动过程中自动获取 [见图4(b)]。在有向图中,皮肤单元表示为顶点,相邻单元之间的连接表示为边。随后,通过连通分量分析将图划分为多个子图,每个子图对应一个皮肤贴片。下一步为每个皮肤贴片选择根单元:对每个皮肤单元执行迪杰斯特拉最短路径算法,计算其到所有其他皮肤单元的累积路径长度,选择累积路径长度最小的皮肤单元作为根单元。通过这种方式,可减少皮肤单元之间相对变换lTl−1的数量,从而降低整体误差。我们通过电机试探获取不同姿态下每个皮肤单元观测到的重力加速度 [见图4(c)],并求解相邻皮肤单元之间的相对变换:

其中,旋转矩阵lRl−1通过求解正交普罗克拉斯问题确定:

式中,A ∈ R3×n包含皮肤单元l-1的加速度样本,B ∈ R3×n包含皮肤单元l的加速度样本;平移向量ltl−1利用皮肤单元的形状信息确定。最后,沿每个皮肤单元i到根单元r的最短路径,利用路径上的相对变换lTl−1计算 iTr:

这种自动配置与定位方法考虑了刚性皮肤单元之间的柔性连接,能够适应表面贴合需求。然而,该三维重建方法假设皮肤单元之间的相对距离恒定,因此目前尚未考虑可拉伸材料。
(3)自获取运动学/动力学知识
本文中的自获取运动学知识基于文献所述的运动学树算法,以下简要介绍其核心概念。该方法包含两种技术:开环方法生成活动矩阵(AM),将触觉刺激与关节运动相关联,可视为局部运动学建模(非几何/解析形式的关联);第二种方法分为两个阶段:皮肤贴片相对于机器人身体坐标系的定位,以及利用皮肤信息估计关节偏移量,从而获取描述机器人运动学配置的类D-H参数。皮肤贴片的定位可自动完成或通过交互式图形用户界面(GUI)手动实现(见图5)。

图5:(a)利用皮肤单元中嵌入的发光二极管(LED)将皮肤贴片转换为视觉标记,实现机器人皮肤贴片(根单元)在机器人身体坐标系中的定位(rTj)。(b)通过带有交互式标记的直观图形用户界面(GUI)手动定位皮肤贴片。(c)利用皮肤信息以及皮肤贴片到机器人身体坐标系的局部变换,可获取类D-H运动学参数
通过皮肤单元的自动/手动定位,可提取机器人的运动学参数。具体而言,利用每个单元的多模态传感器信息确定关节的运动轴及其相关偏移量(半径),该标定过程分为三个阶段:
1. 机器人执行单关节运动时,基于每个单元的惯性测量单元(IMU)信息估计关节轴向量;
2. 提取关节运动过程中的切向加速度分量:从测量值中减去重力向量,通过奇异值分解计算切向加速度;
3. 利用切向分量的幅值,通过最小二乘线性模型拟合计算径向最小距离。
获取的参数可表示为D-H参数(见图6)。此外,结合D-H参数构建的运动学模型与皮肤单元自动定位过程中生成的相对变换(见第二部分3小节),可自动生成每个皮肤单元相对于机器人基坐标系的相对齐次变换和绝对齐次变换,即iT0和iTj,其中i为第i个皮肤单元,j 为第j个机器人关节,0为机器人基坐标系(见图10)。如第四部分所述,D-H参数和齐次变换是将皮肤信号转换为控制信号的关键步骤。

图6: 参数化运动学与动力学建模。(a)皮肤贴片的自获取运动学信息可用于获取机器人运动学参数。这些参数可表示为(b)类D-H参数,而类D-H参数进而可用于构建(c)机器人解析模型
(4)机器人皮肤的安装与表面覆盖
1. 机器人皮肤的安装:在机器人上安装大量皮肤单元是一项具有挑战性的任务,要求最终系统可靠、部署简便、易于维护,且尽可能不影响机器人的运动。设计初期便考虑了这些约束条件。为说明如何应对关键挑战,下文将详细介绍在 UR5 工业机器人上安装皮肤的方案。
设计的首要考量是机器人皮肤应易于安装和拆卸,因此其固定机构需尽可能简单且通用。基于此,我们采用了固定柱系统 [见图7(a)],通过弹性绳连接各个固定柱 [见图7(b)],可简单直观地调节贴片所受的机械应变。由于皮肤单元由刚性材料制成,难以可靠覆盖小曲率半径的表面;此外,皮肤单元封装在弹性体材料中,扭曲贴片以贴合曲面会拉长外表面,从而在力传感器上产生寄生应力。为解决这些问题,我们在皮肤与机器人表面之间添加了一层软弹性材料,以缓冲尖锐边缘,并在一定程度上释放皮肤所受的机械应力。

图7:机器人皮肤的固定机构。固定柱可实现皮肤贴片在机器人上的快速部署。(a)计算机辅助设计(CAD)图;(b)实际机器人上的安装效果
2. 线缆管理系统:为机器人覆盖大量皮肤单元时,线缆管理是主要问题之一。尽管最初考虑了无线通信方案,但由于带宽、延迟以及供电问题(每个皮肤贴片需配备独立能源),最终放弃了该方案。通常情况下,机器人的能源和控制信号线缆通过专用关节枢纽传输,以最大限度地减少机械干扰,提高整个系统的可靠性。然而,在许多情况下,这些线缆管道无法访问或不适合额外布线,因此只能将剩余线缆布置在机器人外部。虽然这在工业中较为常见(尤其是在机器人手臂与其末端执行器上的专用工具之间),但随着连接设备数量的增加或机器人任务复杂度的提高,这一方案会带来诸多问题。此外,对于机器人皮肤而言,线缆不能干扰测量设备(尤其是皮肤单元上的接近传感器),因此必须布置在皮肤单元网络下方,这大幅增加了线缆与机器人之间产生寄生机械相互作用的风险。实际应用中,我们通过线缆卷收器和滑轮系统解决了这些问题:线缆通过一组通道传输,通道末端配备滚珠轴承铰链以最小化摩擦;每个关节配备一个线缆卷轴,使线缆保持恒定且可调节的张力,从而避免对皮肤接近传感器产生不必要的干扰。适用于UR5机器人的完整线缆管理系统如图8所示。

图8:线缆管理系统
(1)事件驱动型人造皮肤
本节介绍处理机器人皮肤大面积区域产生的海量数据所需的数据处理方案。
高效处理大规模机器人皮肤(包含大量皮肤单元和传感器)海量数据的核心思路是将有效信息的提取从集中式处理系统转移至传感器层面,理想情况下直接在传感器内部完成。这种思路通过在传感器层面减少冗余信息,大幅降低了传输至中央处理系统并进行处理的数据量。机器人皮肤的多模态传感器信号具有巨大的时间冗余压缩潜力——大多数情况下,触觉传感器仅在特定区域短时间内受到刺激,尤其是机器人处于直立姿态且偶尔接触物体时。传感器层面的冗余压缩概念源于生物学启发:自然界中,不同类型的专用皮肤感受器负责感知复杂触觉刺激的基本接触特征,并将传感器信息编码为神经脉冲序列(事件),通过大规模并行神经束传输。最重要的是,皮肤感受器仅在检测到新信息时才产生脉冲序列。更一般地,神经系统仅在存在由事件表示的新信息时才被激活。应用这些生物学概念可构建受生物启发的系统,通过仅在传感器检测到新信息时生成事件、以事件形式编码 / 表示和传输信息,以及在新信息到达时激活并处理信息,实现冗余压缩。这类系统被称为事件驱动系统,其信息的转换、传输和处理由事件驱动,而非遵循奈奎斯特定理的传统离散时间系统(时钟驱动系统)中的采样时钟。图9展示了基于事件驱动机器人皮肤的高效数据处理方案的整体概念。

图9:事件驱动型触觉皮肤。仅当产生触觉事件时,传感信号才会转发至接口盒
理想事件驱动传感器:理想事件驱动传感器在受到新刺激时立即生成事件,无需采样,事件生成完全异步,可在任意时间持续发生。因此,理想事件驱动传感器近似具有无限采样率和极高的时间分辨率。此类传感器的研发工作已持续进行,从事件驱动视觉传感器开始,逐步扩展至听觉传感器和力传感器。这些传感器均接近理想事件驱动传感器,采用大致相同的信号转换机制:对模拟输入信号x (t)的导数ẋ(t)进行积分,当积分值超过预设阈值δ时,在时间ti 生成事件ei :

该积分本质上是对输入信号变化量ẋ(t)的算术平均,因此事件生成规则可表示为:

因此,这种事件生成原理实现了变化事件生成器,当监测的传感器信号变化超过设定阈值时生成事件。除了直接的模拟 - 事件转换,事件驱动传感器还采用地址事件表示(AER)方法,以高时间精度表示和传输事件。AER方法采用异步地址总线,通过事件在总线上的出现时刻编码事件的生成时间,通过总线地址编码事件的来源(如像素地址)和类型。当AER中的事件需要由PC等同步系统处理时,异步-同步桥接器需为事件添加高精度时间戳。AER的主要优势是时间精度高,但需要高速异步并行总线系统——此类总线系统在超大规模集成电路(VLSI)中易于实现,但在布线受限的分布式系统(如机器人皮肤系统)中难以部署。近年来,研究人员开发了串行AER,将布线数量减少至一对差分线,但这些线缆仍需支持极高的传输速率。由于仅传输变化事件会导致事件丢失时绝对数值重建产生漂移,近年来的事件驱动传感器还通过速率编码或时间编码将绝对数值编码为事件。
增量发送原理(SoDP):增量发送原理(SoDP)首次在文献中提出,是一种用于减少无线、电池供电、分布式传感器网络中传输量的高效概念。在这类场景中,减少传输量对于延长传感器寿命至关重要。SoDP的核心思想是:为在传感器层面实现冗余压缩,对现成传感器进行尽可能快的采样,但仅当当前采样值x(tk),tk = k Ts, k ∈ Z与上一次发送值x(tKi−1 ) 的差值超过预设固定阈值δ时,才在时刻tk=Ki发送该采样值:

显然,这与前文讨论的在连续时间域中直接将模拟值转换为变化事件的变化事件生成器相似,SoDP的事件生成规则本质上是式(5)所示连续时间规则的离散时间对应形式。SoDP的主要优势是可在复合架构中与标准传感器、标准异步通信协议(如UART、以太网)和常规离散时间处理系统兼容。SoDP中的事件ei 表示为:

即事件数据包包含触发事件的传感器值x(tKi )和事件发生时间tKi (见算法1)。因此,将异步事件数据包转换回同步信息流以进行同步处理时不会产生漂移,且不受事件丢失的影响。然而,基于SoDP和事件数据包的事件驱动系统的时间精度低于采用模拟事件生成器和 AER 的事件驱动系统,其时间精度受传感器采样率和事件数据包传输层时间精度的限制。

算法1:事件生成
1. 即事件数据包包含触发事件的传感器值x(tKi )和事件发生时间tKi机器人皮肤的事件驱动信号传输:本文提出一种适用于机器人皮肤系统的简单事件驱动信号传输概念,无需专用硬件或特殊皮肤单元网络架构,因此不采用AER原理,而是基于SoDP实现。在机器人皮肤系统中应用SoDP具有以下两大优势:
2. 机器人皮肤系统采用模块化皮肤单元设计,每个皮肤单元具备本地处理能力,并通过异步通信网络连接,无需专用硬件即可改造为事件驱动系统;
3. 改造后的机器人皮肤系统可支持两种运行模式:标准时钟驱动模式(恒定采样率)和事件驱动模式,便于比较和评估时钟驱动应用与事件驱动应用的性能。
本文研发的机器人皮肤系统具备扩展事件驱动运行模式的所有必要条件。我们利用皮肤单元的微控制器实现了事件生成器,遵循SoDP生成并发送事件数据包。由于当前自组织皮肤单元网络依赖固定大小的数据包,同时为减少信息格式化封装的开销,我们将同一时刻不同传感器模态产生的事件打包为单个事件数据包。通过分析不同应用中的事件生成情况,确定了最优数据包大小——既能在单个数据包中传输多个事件,又能在仅需发送单个事件时减少开销。实验结果表明,在事件驱动模式下,网络带宽可减少高达90%,PC端皮肤驱动程序的CPU使用率可降低高达60%。
(2)动态路由与负载均衡
机器人皮肤系统中的皮肤单元需要稳定可靠的通信网络,以实现每个皮肤单元与主机PC之间的双向可靠连接。随着网络中皮肤单元数量的增加,构建此类网络的难度逐渐增大,主要原因如下:1)大量皮肤单元的存在增加了故障点数量,单个皮肤单元或连接的故障可能影响更多皮肤单元和更大的皮肤区域;2)更多皮肤单元构成的网络通信负载更高,需要优化通信树的深度以最小化延迟,并平衡负载以避免拥塞。为应对这些挑战,我们开发了一种新的皮肤单元自组织网络协议,具备以下功能:1)无需预先知晓网络拓扑,自动构建具有确定低网络深度的双向通信树;2)检测到连接或皮肤单元故障时,动态在线重新路由;3)动态在线负载均衡,在皮肤单元和与主机的连接之间公平分配网络负载。在机器人皮肤系统中实现这些功能后,可在40 ms内完成动态重新路由和丢失连接的完全恢复,获得确定且更小的网络深度,并改善负载均衡效果,从而减少数据包丢失和延迟,使最大网络规模增加高达32%。
本节将介绍如何将多模态机器人皮肤的触觉信号集成到控制系统中,以增强机器人在人机物理交互场景中的反应能力。我们采用两种不同的方法:一种基于机器人相关的感觉-运动映射,另一种为更通用的方法,适用于具有不同控制接口的各类机器人。
(1)姿态感觉-运动映射
感觉 - 运动映射是一组姿态矩阵,基于参考身体部位,将分布式触觉刺激映射为关节级机器人反应,类似于机器人表面多个分布式接触点的雅可比矩阵逆运动学求解。该映射通过自动获取,无需手动校准机器人运动学参数以及皮肤传感器在机器人表面的安装位置/姿态。其核心思想是:在机器人连杆上安装皮肤单元,通过电机试探(关节逐个运动),利用关节状态与皮肤传感器的关联信息生成映射。该映射的生成主要分为三个步骤:
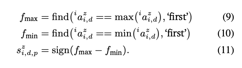
探索模式:为评估每个旋转自由度(DOF)d对传感器单元i在姿态p下平移运动的影响,机器人逐个对每个自由度施加测试模式。由于当前触觉传感器仅能测量法向力和接近度,我们重点关注表面法向方向的平移分量。对于平移分量,仅切向加速度向量i⃗atan可用,因其与局部运动向量共线。通过保持较低的角速度ωd ,可最小化向心加速度的影响;当自由度运动的角度范围△φd 较小时,旋转重力向量的影响近乎恒定,可通过减法消除。为最大化切向加速度,需采用较高的角加速度αd 。同时,为获得平滑的加速度计读数,需控制角速度ωd(t) 、角加速度αd (t) 和角加加速度ζd (t) 。理想情况下,探索模式在时间 tf 结束时,自由度应返回初始位置φd (0) = φd (tf )。满足所有这些要求的一种速度控制模式ωd(t) 是正弦波。
模式评估:采用特定数值量化自由度d对传感器单元i在当前姿态p下期望运动的贡献。为消除传感器恒定偏移和重力向量i⃗g,首先从所有加速度计轴的测量值中减去均值;为消除噪声和振动,应用数字低通滤波器,其带宽B大于模式频率f的十倍。为确定最大值和最小值,计算加速度计z轴i⃗ez方向的幅值Azi,d,p :

为区分期望运动是同相还是反相,判断最大值和最小值的出现顺序:

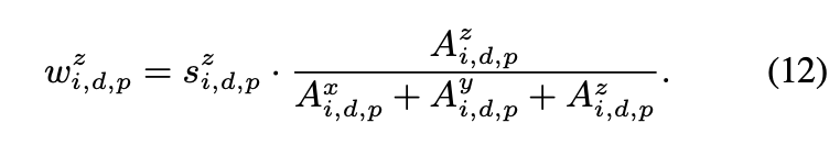
传感器单元表面法向方向i⃗ez的权重

计算如下:

权重取值范围为[-1, 1]:当自由度运动与期望平移运动完全相关时,权重接近±1;当两者正交时,权重接近0。
感觉-运动映射:感觉-运动映射是存储探索获得的权重值的容器,构成触觉反应映射的查找表。感觉-运动映射的每个单元对应一个姿态p,包含最多三组与三个平移方向相关的矩阵,矩阵维度由皮肤单元数量和自由度数量决定(U×D)。基于当前的传感器模态,我们仅使用与表面法向共线的矩阵值

每个单元还包含其探索时的机器人姿态向量,用于在将触觉反应映射为机器人反应时,查找最接近(如采用欧氏距离)的记忆姿态。对于具有多个运动链的机器人(如双臂类人机器人),运动身体部位之间可能存在动态耦合效应。利用结构知识对姿态矩阵进行后处理,可解耦这些身体部位:将全局活动矩阵(AM)与每个感觉 - 运动映射矩阵(Wp )进行元素- wise乘法运算(◦):

此外,移除所有较小的皮肤单元反应向量

因为这些反应无法基于躯干等静态参考点确定;对超过抑制阈值的向量进行归一化,以平衡整个运动链的触觉反应强度。该方法获得的感觉映射已在类人机器人上进行了验证(见第5部分3小节)。
(2)通用皮肤控制框架
本文提出的控制框架最初在文献中针对 TOMM 机器人(配备两个6自由度UR5工业机器人手臂)提出,随后扩展至支持其他机器人。
通用控制框架的流程如图10所示,该框架是一种多级分层控制系统,主要目的是根据用户定义的目标生成适当的机器人行为,并通过力矩解析器模块转换控制输出,根据机器人类型选择正确的指令接口。框架的主要模块包括:1)基元生成器;2)机器人任务库;3)控制融合;4)增益选择器;5)力矩解析器。

图10 :(a)通用控制框架流程。该框架由五个主要模块组成,即基元生成器、机器人任务库、控制融合模块、增益选择器和力矩解析器。这些模块生成机器人行为,并通过硬件抽象层(HAL)向机器人发送控制指令。(b)通过融合多个控制器可获得不同的机器人行为。(c)该框架设计用于控制具有不同控制接口的机器人,即关节位置接口、速度接口和力矩接口
1. 基元生成器:该模块接收用户目标,生成机器人的参考动力学,选择实现目标动力学所需的不同机器人任务及其融合方法。参考和任务的定义取决于用户目标,参考可以是关节空间、操作空间和力空间参考的组合,任务可以是机器人任务库中定义的任意组合。
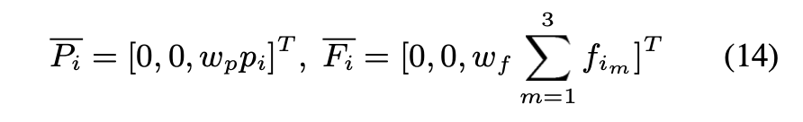
2. 机器人任务库:包含任务定义及其相关控制方法,所有任务均在广义力层面(关节力矩层面)定义。选择力矩层面的原因是:无需复杂的参考系重新分配即可组合不同空间定义的任务;此外,可利用皮肤单元的嵌入式硬件轻松实现总力矩计算的分布式处理(见第四部分2小节)。任务库中的示例任务包括:单肢体和多肢体的笛卡尔任务、关节任务,以及平衡任务。其中,皮肤任务尤为重要——该任务利用皮肤贴片的反馈信息生成机器人对触觉信息的反应行为。为将机器人皮肤传感器信息与任务库中的其他任务集成 [见图10(b)],需要将传感器信号(如接近度和法向力)转换为广义力指令,具体通过以下两步转换实现:
a) 多模态触觉信号到力向量的转换:每个皮肤单元生成三个力信号fim ∈ R,m = 1,2,3和一个接近度信号pi ∈ R (见图10)。设计上,力信号和接近度信号均垂直于传感器表面(由z轴定义)。因此,每个皮肤单元的虚拟力向量可计算为:

式中,wp , wf ∈ R为加权增益。上述方程描述了各信号相对于皮肤单元坐标系的虚拟力向量(见图10)。相对于机器人基坐标系(Link₀)的虚拟力向量为:

式中,iF0 ∈ R3表示皮肤单元触觉信号生成的虚拟力向量;旋转矩阵iR0 ∈ SO(3)从齐次变换iT0 中提取(见第二部分4小节)。
b) 力向量到关节力矩的转换:第二步计算每个皮肤单元触觉信号产生的关节力矩τi ∈ Rn:

式中,i W0 = [i F0T , 01×3 ]T ∈ R6 为施加在皮肤单元i上的虚拟wrench。所有皮肤贴片k上所有皮肤单元产生的皮肤关节力矩τskin ∈ Rn计算为:

式中,c为单个皮肤贴片的皮肤单元数量,p为机器人上的皮肤贴片总数。式(17)描述的皮肤任务可与机器人任务库中的其他任务融合,生成特定的机器人行为。机器人行为由特定的控制器选择和控制融合方法定义。例如,皮肤柔顺行为由关节任务、重力补偿任务和皮肤任务组成,采用式(18)定义的融合方法。该行为可将刚性工业机器人转换为完全柔顺的机器人。更多机器人行为见图11。

图11:机器人行为及其关联任务
由于力传感器与皮肤单元参考系之间的距离可忽略不计,无法相对于皮肤单元自身参考系施加纯力矩,也无法通过皮肤传感器测量纯力矩,因此设置皮肤单元i上的力矩为0 ∈ R3×1 。
3.控制融合:为生成适当的机器人行为,需选择正确的任务及任务融合方法。本文提出的通用框架采用多种融合方法将多个任务的输出整合为单个控制输出τΣ ,例如加权和零空间投影。
第一种方法为简单加权和,定义为:

式中,wk 为控制每个控制律贡献的权重增益。
这是一种简单直接的任务控制输出融合方法,可生成复杂行为,例如将关节任务、重力补偿任务和皮肤任务融合,使非柔顺机器人具备柔顺行为。
第二种方法基于任务栈,采用零空间投影实现任务的严格分层执行策略。对于m个任务,分层执行的全身关节力矩定义为:

其中,零空间投影矩阵Nk 通过递归算法定义:

式中,Jk 为第k个任务的增广雅可比矩阵,上标†表示矩阵的广义伪逆,s为任务空间维度。
4. 增益选择器:控制增益的适当选择是影响机器人整体行为的重要因素。该模块根据目标选择合适的增益集,这些增益在控制器校准过程中进行调整并存储。
5.力矩解析器:图10所示的机器人控制框架旨在为不同机器人架构提供通用形式的控制指令,支持标准机器人的三种常见底层控制接口:位置、速度或力矩接口,其中前两种是大多数现代工业机器人常用的接口。对于力矩接口机器人,直接将融合后的控制信号τΣ 作为控制指令;对于位置或速度接口机器人,需要将τΣ转换为期望关节位置 / 速度。为此,我们实现了力矩解析器 [见图10(c)],利用非线性观测器的动态状态生成期望关节指令。机器人的完整动力学模型通过运动学模型与第二部分4小节所述的参数化动力学模型结合获得,该参数化模型允许用户定义动态行为(例如增加粘性摩擦,降低触觉交互的阶跃响应速度)。力矩解析器生成的期望关节位置/速度(qd , q ̇d ) 通过机器人的标准控制接口发送至机器人。力矩解析器主要包含两个模块:1)非线性轨迹生成器,基于用户定义的动态行为生成期望轨迹;2)内部速度控制器,生成期望关节速度以补偿机器人参数的不确定性(如动态摩擦)。式中,qv , q ̇v 表示虚拟机器人的关节位置/速度(目标位置/速度),q、q̇表示真实机器人的关节位置/速度,qc , q ̇c 表示通过机器人控制接口发送的指令关节位置/速度,E(q ̇v,q ̇) 表示关节速度估计器。
该通用控制框架已在多个机器人的不同条件下成功验证,应用示例见第五部分。
皮肤关节控制的分布式计算:第四部分2小节所述的皮肤任务计算是机器人任务库中皮肤任务的核心,因此是所有考虑触觉输入的机器人行为的组成部分 [见图10(b)]。然而,计算每个皮肤单元i的关节力矩贡献τi 需要计算几何雅可比矩阵JTi (q)并求解式(16),对于控制回路中数千个皮肤单元的皮肤任务,集中式计算的计算量巨大且具有挑战性。为应对这一挑战并突破控制中可使用的最大皮肤单元数量限制,我们利用皮肤单元微控制器的处理能力,将集中式皮肤关节力矩计算从 PC 分散到各个皮肤单元。这种分布式计算需要在每个皮肤单元中完成以下步骤:
存储皮肤单元i与机器人连杆j之间的静态变换iTl ;
接收最新的关节状态q;
计算机器人连杆j上皮肤单元i的正运动学,即所有l≤j的lT0(q);
计算皮肤单元i的雅可比矩阵JTi (q);
计算皮肤单元i的皮肤关节力矩贡献τi ;
将τi 累加到相邻单元n的皮肤关节力矩τskin,n中;
发送皮肤单元i的最终皮肤关节力矩τskin,i 。
由于皮肤单元微控制器的计算能力有限,实现分布式皮肤关节力矩计算需要对正运动学和式(16)的计算进行多项优化。由于缺乏浮点运算单元,我们采用定点运算,并通过五阶多项式近似实现正弦/余弦函数的快速计算。正运动学的优化计算将旋转矩阵lR0和投影

的计算分开进行,这些是计算几何雅可比矩阵JTi (q)的必需部分,可使所需的乘法和加法运算数量减少近一半。由于皮肤单元i的皮肤关节力矩贡献τi 不依赖参考系,皮肤单元可在皮肤单元网络向机器人传输信息的过程中累加皮肤关节力矩贡献。最终,机器人仅接收一个完整实现期望皮肤任务的皮肤关节力矩向量τskin [见图10(b)]。实验表明,皮肤关节力矩的分布式计算是可行的,正弦近似和定点运算导致的累积误差可忽略不计,且控制回路中皮肤任务的延迟与皮肤单元数量无关。
本节将介绍机器人皮肤系统的部分应用案例:首先展示其在双臂工业机器人系统中的应用该应用是欧洲 “一日工厂” 项目的一部分,项目目标是在24小时内搭建一座工厂,机器人皮肤在其中发挥了关键作用);随后,在同一机器人上实现了安全力传播方法;接着,在16自由度机器人手上实现了反应式抓取控制;之后,将机器人皮肤应用于两款类人机器人;最后,展示了机器人皮肤在“重新行走”项目中的应用成果。
(1)基于机器人皮肤的直观工业机器人示教与控制
本节简要介绍机器人皮肤在工业机器人手臂上的应用。该应用将自组织/自校准机器人皮肤和通用控制框架与基于语义的示教再现方法相结合,增强了工业机器人手臂的灵活性、易用性和安全性。这种完整集成允许非专业用户通过与机器人进行物理交互来示教机器人(见图12)。通用框架的机器人行为模块 [见图10(a)] 生成示教和执行阶段所需的有用行为,图11展示了部分机器人行为及其相关控制方法。目标任务是示教机器人分拣橙子:将优质橙子放入容器,劣质橙子投入垃圾桶。该任务充分体现了多模态触觉信息的优势——需要通过挤压橙子来判断其质量。结合机器人皮肤的多模态信息、机器人行为和语义引擎,可自动生成可执行的规划,并将其迁移至不同机器人和不同物体(例如,机器人利用橙子分拣场景中获得的知识分拣其他水果)。

图12:机器人皮肤的工业应用
(2)基于皮肤的四指手反应式抓取
抓取和操作是机器人的核心技能。通常,抓取方法可分为两类:依赖物体信息的方法和假设物体未知的方法。前者依赖精确的物体信息,仅适用于高度结构化环境,难以适应动态真实世界;后者提供了更通用的解决方案,可进一步分为全局抓取方法和局部抓取方法。本应用采用全局抓取方法,假设目标物体可用简单基元描述,然后利用机器人皮肤信息增强该方法,生成反应式抓取行为,以应对物体的不确定性。应用结果如图13所示:图13(a)-(d)展示了抓取未牢固固定在金属杆上的球体的实验 [见图13(a)],任务是抓取球体而不使其掉落。第一种方法采用全局抓取方法 [见图13(a)-(d)],由于模型不确定性,手指与球体发生碰撞,导致球体掉落;第二种方法采用反应式抓取 [见图13(e)-(h)],手指利用机器人皮肤的接近传感器自适应调整至球体实际表面,并通过力传感器施加均匀的抓取力,成功稳定抓取球体。该方法还应用于抓取不同形状和动态特性的物体:1)圆柱体 [见图13(i)-(j)];2)扳手工具 [见图13(k)-(l)]。对于扳手工具,每个手指需施加不同的力分布以实现稳定抓取。实验采用Allegro手(四指,16自由度),每个自由度均支持力矩控制,控制基于通用控制框架的力矩指令接口实现。

图13:基于多模态机器人皮肤信息的反应式抓取。(a)-(d)基于简单基元的全局抓取;(e)-(h)基于机器人皮肤的增强型反应式抓取;(i)-(l)面向多物体的反应式抓取及不同力分布的应用
(3)类人机器人的全身安全抓取
文献报道了用于类人机器人抓取大型物体的全身抓取方法(见图14)。该方法在HRP-2机器人上实现,用于抓取大型未知物体。实验中,共使用74个皮肤单元:胸部覆盖12个,两条手臂内侧各覆盖31个(总计62个)。我们采用类人策略,类似于人类用双臂将大型未知物体拉向胸部。该策略具有以下优势:三个远端接触点可形成稳定抓取;大面积柔顺接触区域可分散施加的力并提供剪切稳定性;物体重量可靠近机器人质心;短运动链可降低所需的关节力。为利用人造皮肤系统在HRP-2机器人上快速复现这种人类行为,我们首先示教机器人双臂的抓取和拉动轨迹,然后定义接触区域(主要在胸部和两条手臂内侧)并允许在该区域内施加力,采用触觉事件驱动状态机(打开、闭合、拉动、复位)协调抓取序列,并利用触觉反应和感觉-运动映射(见第四部分1小节)使抓取轨迹适应物体尺寸。

图14:类人机器人利用机器人皮肤信息并应用感觉-运动映射,实现对物体的安全握持
(4)类人机器人的全身柔顺性与交互
第四部分2小节所述的控制方法可适用于具有多个自由度的系统(如类人机器人),以实现柔顺行为。为此,可利用皮肤接触和预接触信息,遵循操作空间公式定义动态任务。
安装在机器人连杆 j 上的第i个皮肤单元的复合力(式14)在连杆上产生wrench,该wrench相对于连杆j参考系的表达式为:

式中,iRj和itj 分别为皮肤单元i在连杆j坐标系中的姿态和位置,Fi 为复合皮肤力。对于一组皮肤单元,合成wrench为:

其在机器人基坐标系中的投影为:

类似于皮肤任务(见第四部分2小节),全身力矩向量通过雅可比矩阵jJb计算:

对于皮肤任务而言,具有多个自由度的机器人存在冗余,因此可如文献所述,并行执行其他任务。然而,不同任务的优先级可能不同——例如,类人机器人的所有平衡相关任务必须优先于任何操作任务,因为机器人及其周围环境(包括人类操作者)的安全性依赖于平衡的维持。
全身皮肤任务采用式(19)和(20)实现,并与平衡任务、自碰撞避免任务和全身姿态任务并行执行。图15展示了两种交互场景的实验结果:图 15(a)为多接触场景,多个皮肤任务同时激活,并按照严格的分层策略执行;图 15(b)为身体抓取姿态任务,实现机器人的柔顺拥抱技能,接触区域(整个胸部和部分手臂)显著增大。

图15:(a)皮肤任务可应用于全身多接触点场景,并在平衡控制的零空间内执行。(b)通过皮肤柔顺任务的定义,支持大面积接触交互,且该方案具备可行性

图16:零空间力传播以实现全身柔顺性,保障人机物理交互的安全性
(5)力传播实现/保证全身柔顺性
本节简要介绍一种控制策略,利用人造皮肤的力和接近度反馈增强双臂移动机器人的柔顺范围,该方法在文献中提出。机器人在人类环境中运行时,必须应对各种可能同时发生在任意接触点的物理交互。无论这些交互是期望的还是意外的,机器人都应产生安全且可预测的行为。因此,此类机器人必须具备全身柔顺性,即其整个身体都能保证柔顺性。
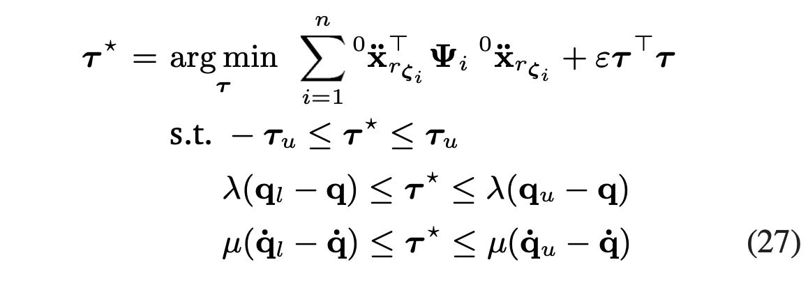
尽管过去二十年来柔顺性研究取得了广泛进展,但将其推广至人类与刚性机器人(如工业机器人)之间的多接触交互场景仍面临挑战,主要原因包括:1)刚性机器人的物理限制(如关节限制或奇异构型);2)缺乏足够的传感输入。大多数方法仅在末端执行器层面或关节层面实现主动柔顺性,当交互力无法被适当检测或机器人处于奇异构型时,可能导致刚性配置。在接触点层面制定柔顺性控制策略,能够直观且精确地调整机器人运动链任意点的反应行为,同时提供零空间交互信息。实际上,为刚性机器人覆盖人造皮肤可增强其对近距离接触环境的感知能力,从而大幅简化底层柔顺性控制回路的结构。文献中提出的控制器通过以下质量-弹簧-阻尼器方程,跟踪笛卡尔空间中接触质心ζi 处定义的期望(潜在安全)反应动力学0 x ̈dζi :

式中,0Wj ∈ Rm为施加在接触点j的外部 wrench;Λd , Dd , Kd ∈ Rm×m分别为期望惯性矩阵、阻尼矩阵和刚度矩阵,定义了接触动力学;Δ0xj = (0xdj − 0xrefj ) ∈ Rm及其时间导数分别为机器人需跟踪的期望质量-弹簧-阻尼器接触动力学(0xdj , 0x ̇ dj , and 0x ̈dj )与参考动力学(0xrefj , 0x ̇ refj , and 0x ̈refj )之间的位置、速度和加速度误差,无外力作用时机器人需收敛至参考动力学状态。我们将柔顺性控制律表述为一组二次优化问题,对每个参与交互的肢体并行求解。目标是找到最优控制力矩τ*,最小化加速度残差0x ̈rζi = 0x ̈dζi − 0x ̈aζi ,同时满足关节角度、速度和力矩约束:

式中,λ、μ ∈ R为收敛速率;ql, qu q ̇l, q ̇u ∈ Rn分别为机器人上肢运动链的关节位置和速度上下限向量。当某个肢体无法产生期望的柔顺行为时,该接触点的残差动力学(映射为力)会传播至其父肢体(本文中为机器人的移动基座),并得到适当补偿,从而扩展机器人的整体柔顺范围(见图16)。
(6)脊髓损伤患者康复的触觉反馈
“重新行走” 项目是一项国际合作项目,旨在研究帮助脊髓损伤(SCI)患者恢复行走功能的机制,重点研究了三项关键技术:1)脑机接口(BMI);2)外骨骼机器人;3)振动触觉刺激。本项目中,我们将机器人皮肤应用于外骨骼机器人,用于脊髓损伤患者的康复训练。皮肤单元安装在外骨骼机器人的足底(见图17),用于检测每一步的触地情况。外骨骼的地面接触信息被转换为振动触觉刺激,通过安装在患者上臂的电机实现。我们使用了三个振动电机,分别与足底的前、中、后三个力传感器相关联。控制振动电机的脉冲宽度调制(PWM)信号的占空比与测量到的压力成正比。经过一段时间的训练,所有患者都学会了将力传感器获得的反馈与行走步骤相关联。
文献报道,对这些患者进行长期(12-14个月)训练后,所有 8 名患者均实现了部分神经功能恢复。

图17:我们研发的机器人皮肤应用于外骨骼机器人的足底;每只脚配备7个皮肤单元
本文提出了一种机器人皮肤开发的整体解决方案,详细阐述了将机器人皮肤部署到实际机器人系统中的各个开发阶段。实验表明,本文提出的人造机器人皮肤系统具有有效性,已成功应用于多种机器人平台和各类应用场景。总体而言,该人造机器人皮肤系统的完整设计具有可扩展性,适用于具有不同控制方案(即位置、速度和力矩控制)的各类机器人平台。



免责声明:文中观点仅供分享交流,文章版权及解释权归原作者及发布单位所有,如涉及版权等问题,请您联系TechApe_01@yeah.net告知,我们会在第一时间做出处理。
相关推荐 ·

2025年,人形机器人产业迎来爆发拐点。特斯拉Optimus量产在即,华为、宇树等企业加速技术突破,行业正从“实验室研发”向“规模化落地”跃迁为打通产业链上下游协作壁垒,艾邦机器人正式组建"人形机器人全产业链交流群",覆盖金属材料、复合材料、传感器、电机、减速器等全硬件环节,助力企业精准对接资源、共享前沿技术!
扫码关注公众号,底部菜单申请进群


